公共卫生学院儿少卫生与妇幼保健学教研室在读博士杨佳揭示父源性表观遗传学传代机制介导不良环境暴露对其后代出生结局的影响
2021年1月11日我校公共卫生学院儿少卫生与妇幼保健学教研室在读博士杨佳在期刊《Frontiers in Genetics》(中科院期刊分区生物2区,影响因子:4.007)上发表了题为“Methylation of Imprinted Genes in Sperm DNA Correlated to Urinary Polycyclic Aromatic Hydrocarbons (PAHs) Exposure Levels in Reproductive-Aged Men and the Birth Outcomes of the Offspring”的研究论文,首次显示:父亲环境非职业PAHs暴露与其生殖细胞印记基因甲基化水平呈正相关,而与后代出生体重之间存在负相关,同时其生殖细胞的印记基因甲基化水平与子代出生体重之间呈负相关。这些研究结果支持父源性环境非职业暴露对胎儿的生长有影响,其机制可能是通过父源性生殖细胞表观遗传学修饰改变所介导的,从而可为不良妊娠结局的遗传学病因提供理论依据。
不良妊娠结局是指正常妊娠以外所有的病理妊娠及分娩期并发症,其增加了孕产妇及围产儿的发病和死亡风险,成为影响我国人口生育健康的重大社会问题。山西省是产煤燃煤大省,且是我国出生缺陷高发地区,所以本次研究内容定位于生命早期环境污染物父源性暴露对表观遗传修饰的改变,且对子代胚胎发育及不良妊娠结局的影响。研究结果提示父系生殖细胞印记基因甲基化区对环境致畸物极其敏感,这些特征使得印记基因可能成为环境有害因素导致不良妊娠结局的重要的表观遗传学标志物。
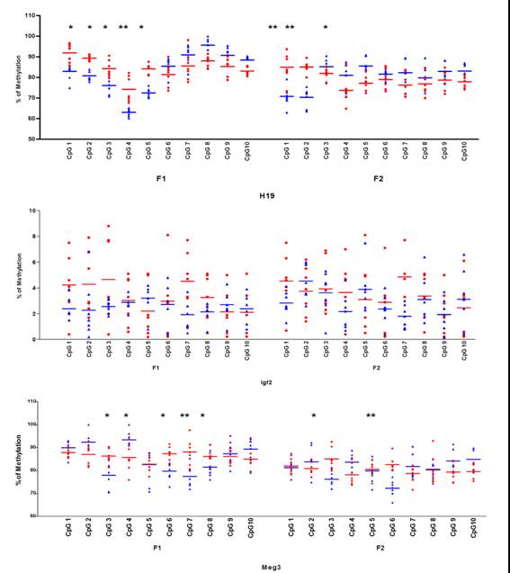
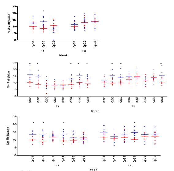
为了进一步了解印记基因的表达异常是否可以诱导不良出生结局的发生,通过建立动物模型结合人群追踪随访展开研究。首先通过对F0代父系小鼠BaP染毒建模后,观察F0代及F1-2代精子印记基因甲基化水平改变,结果表明,F0代雄性小鼠暴露于BaP的2.5 mg/kg剂量会导致选定的6个印记基因中的4个甲基化模式发生显著变化,且这些变化在未暴露的F1和F2代雄性后代精子DNA中也持续存在,此结果通过表观遗传多基因效应和潜在的表观遗传代际传递支持父系介导机制,其相应的研究结果发表于《Chemosphere》(影响因子:5.778),见下图。其次在本次人群研究中,选择正常育龄男性作为研究对象,随访其配偶新生儿出生情况,探究父本自然暴露于环境多环芳烃对新生儿出生结局的影响并探讨其潜在的表观遗传机制,结果表明,父源性环境非职业PAHs暴露与新生儿出生结局发育指标相关,尤其是出生体重。


BaP诱导未暴露后代印记基因DMR区甲基化水平改变。亚硫酸盐焦磷酸测序测定未暴露的F1-2后代精子DNA印记基因H19、Peg1和Igf2以及印记基因Meg3、Peg3和Snrpn的甲基化水平。显示的数据是来自BaP2.5和对照组的各7只实验动物独立CpG位点的甲基化水平。比较对照组小鼠,横线代表均数。*,q<0.05(FDR,通过多重测试纠正)
杨佳博士所在强梅教授研究团队长期致力于生命早期父源性暴露对早期胚胎发育的表观遗传调控机制探索,对父系生殖细胞表观遗传学标志物是否可作为不良出生结局的无创性筛查遗传物质具有重要的学术意义。